Phospholipase C (PLC) Activity Colorimetric Assay Kit
中文名称:磷脂酶C(PLC)比色法测试盒

Price:
Size:
96 T (80 samples)
48 T (32 samples)
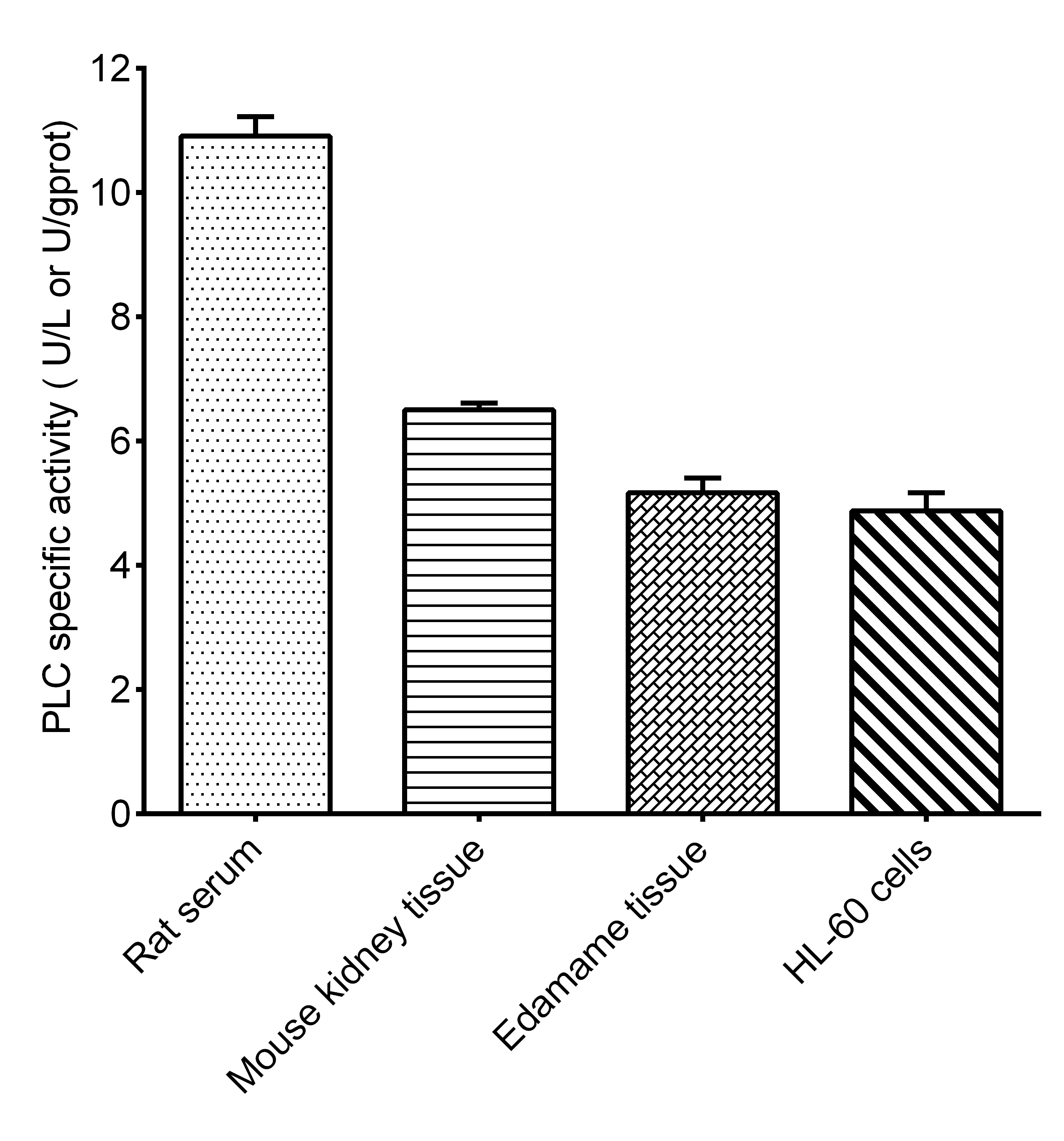
- 样本类型: 血清(浆);动植物组织;细胞
- 检测仪器及波长: 酶标仪(405-415 nm,最佳检测波长410 nm)
- 研究领域: 糖脂代谢
该指标在测定组织或细胞样本时,需要测定样本的总蛋白含量,推荐使用BCA法测蛋白,货号E-BC-K318-M
说明书或网站上未涉及的样本类型请先跟技术支持沟通,可进行售前验证
根据需测样本数,试剂盒测样本孔数和单个样本测量孔数来计算所需生化试剂盒数量,请点击按钮 计算
检测原理 |
磷脂酶 C(Phospholipase C,PLC)是一类广泛存在于动植物和微生物中的酶家族,其核心功能是水解细胞膜磷脂中的磷酸二酯键,生成重要的第二信使分子。PLC 在神经信号传导和保护中也发挥关键作用,有助于理解和治疗神经退行性疾病。此外,PLC 在胰岛素信号传导和脂质代谢中起重要作用,使其成为糖尿病和肥胖研究的热点。近年来,磷脂酰胆碱特异性磷脂酶C(PC-PLC)在细胞信号转导中的作用日益被重视,已证实该酶参与了数种细胞凋亡信号的转导。
PLC 催化底物反应生成显色物质在波长 410 nm 处有最大吸收,通过测定410 nm 处的 OD 值大小计算 PLC 酶活。 |
指标简称 | PLC |
灵敏度 | 0.383 U/L |
检测范围 | 0.383-16.588 U/L |
精密度 | 批间差:6.7-9.9% | 批内差:1.8-3.0% |
样本量 | 20 μL |
检测时间 | 1 h 10 min |
检测仪器及波长 | 酶标仪(405-415 nm,最佳检测波长410 nm) |
保存条件 | 该产品可在-20°C避光条件下保存6个月。 |
有效期 | 6个月 |
E-BC-K782-M | Total Phosphodiesterase (PDEs) Acitivity Colorimetric Assay Kit | 96 T (40 samples) |

暂无文件,请在搜索框输入识别码查询相关文件

名称 | 状态 | 有效期至 | 操作 | |
---|---|---|---|---|
{{item.文件名}} | {{item.status_str}} | {{item.timestamp_str}} | 点击查看 点击预览 |
*注:请在有效期内下载相关文件,过期后页面内将不提供文件下载及预览!
在线咨询